Guide price
£575,000
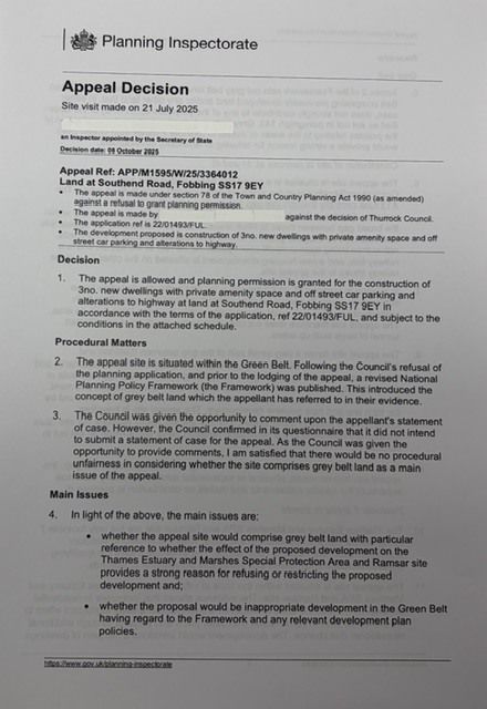
Land for saleSouthend Road, Fobbing, Stanford-Le-Hope, Essex SS17
4 beds
Just added
About this property
** Guide price £575,000 - £600,000 **
planning permission granted (22/01493) for the construction of three four bedroom detached dwellings with off street parking and vehicular access to highway. Please call for further information.
planning permission granted (22/01493) for the construction of three four bedroom detached dwellings with off street parking and vehicular access to highway. Please call for further information.
Mortgage calculator
Monthly repayment
£2,876 per month
Whole of market comparison
70+ lenders and 10,000+ products
The monthly repayments provided are estimates and should be used as a guide only. The actual amount you can borrow will depend on your personal financial situation and subject to a full application. For a more precise estimate, please use the Mojo mortgage calculator. Your home or property may be repossessed if you do not keep up repayments on your mortgage.
More information
Tenure
Council tax band
A band has not yet been confirmed.



.png)